Graph Representation Learning【图最短路径优化/Node2vec/Deepwalk】

[复制链接]
发表于 2025-8-25 11:02:43 | 显示全部楼层 |阅读模式
Q1:

DDI网络构建无向图并找出指定节点i和j的全部最短距离

DDI网络可表示为:
                                              G                                       s                               m                               a                               l                               l                                            =                         (                                   V                                       s                               m                               a                               l                               l                                            ,                                   E                                       s                               m                               a                               l                               l                                            )                                           V                                       s                               m                               a                               l                               l                                            =                         {                         1                         ,                         2                         ,                         3                         ,                         4                         }                                           E                                       s                               m                               a                               l                               l                                            =                         {                         (                         1                         ,                         2                         )                         ,                         (                         1                         ,                         3                         )                         ,                         (                         1                         ,                         4                         )                         ,                         (                         3                         ,                         4                         )                         }                               G_{small}=(V_{small},E_{small})\\ V_{small}=\{1,2,3,4\} \\E_{small}=\{(1,2),(1,3),(1,4),(3,4)\}                   Gsmall​=(Vsmall​,Esmall​)Vsmall​={1,2,3,4}Esmall​={(1,2),(1,3),(1,4),(3,4)}
网络性子:

无向无权的大规模希罕图,我们一般用邻接表存储
1.数据读取与邻接表构建:

​ 遍历全部边,为每个节点维护其邻接节点列表。对于边 ( (u, v) ),将 ( v ) 参加 ( u ) 的邻接列表,并将 ( u ) 参加 ( v ) 的邻接列表。
                                    Adj                         [                         u                         ]                         ←                         Adj                         [                         u                         ]                         ∪                         {                         v                         }                         ,                                 Adj                         [                         v                         ]                         ←                         Adj                         [                         v                         ]                         ∪                         {                         u                         }                               \text{Adj} \leftarrow \text{Adj} \cup \{v\}, \quad \text{Adj}[v] \leftarrow \text{Adj}[v] \cup \{u\}                   Adj←Adj∪{v},Adj[v]←Adj[v]∪{u}
2.根本特征和连通性:

通过dfs得到图的连通性结果如下



  • 每个节点均匀连接到大约47个其他节点
  • 这意味着整个图是一个单一的连通组件,没有孤立的子图,整个网络是完全连通的,任何两个节点之间都存在路径相连
以下为度数分布图:

算法思路:



  • 寻找两点之间的全部最短路径,使用**BFS+回溯**, 由于由上面的分析可知,图的均匀度数很高,较为麋集,最短路径长度较短,所以递归深度不会太高。
  • 但是在路径回溯阶段,虽然直观易实现,但在最短路径数量较多的情况下,递归深度和调用栈开销大概迅速增长,性能下降乃至栈溢出。所以先使用显式栈进行迭代回溯
  • 在回溯过程中,某些节点的路径大概会被多次访问。记忆化缓存可以生存已经盘算过的路径,制止再次盘算。
1. 广度优先搜索(BFS)标记前驱:


  • 初始化距离 (d = 0),别的节点 ( d[v] = inf )。
  • 使用队列逐层扩展,更新节点的最短距离和前驱节点:
                                             ∀                            v                            ∈                            Adj                            [                            u                            ]                            ,                                     若                             d                            [                            v                            ]                            >                            d                            [                            u                            ]                            +                            1                              ⟹                              d                            [                            v                            ]                            ←                            d                            [                            u                            ]                            +                            1                            ,                             prev                            [                            v                            ]                            ←                            {                            u                            }                                     若                             d                            [                            v                            ]                            =                            d                            [                            u                            ]                            +                            1                              ⟹                              prev                            [                            v                            ]                            ←                            prev                            [                            v                            ]                            ∪                            {                            u                            }                                   \forall v \in \text{Adj}, \quad \text{若 } d[v] > d + 1 \implies d[v] \leftarrow d + 1, \ \text{prev}[v] \leftarrow \{u\} \\ \text{若 } d[v] = d + 1 \implies \text{prev}[v] \leftarrow \text{prev}[v] \cup \{u\}                      ∀v∈Adj,若 d[v]>d+1⟹d[v]←d+1, prev[v]←{u}若 d[v]=d+1⟹prev[v]←prev[v]∪{u}
  • 当队列为空时结束。
2. 回溯生成全部最短路径:

从尽头 ( t ) 启动,使用显式栈模仿递归过程,渐渐构建全部从起点 ( s ) 到尽头 ( t ) 的最短路径。与传统的回溯方法差别,这里我们使用记忆化搜索来缓存盘算过的路径,以减少不须要的重复盘算。


  • 使用栈中元素表示当前遍历状态:(当前节点, 当前路径)。
  • 如果当前节点是起点 s,则路径已经完备,逆序将路径参加结果集中。
  • 如果当前节点不是起点,起首检查该节点是否已经有缓存路径(通过 memo 字典)。如果有,则直接从缓存中取出路径;否则,遍历当前节点的前驱节点,将全部大概的路径推入栈中。
实验结果:

对于(8,309)、(67,850)、(990,1256)药物的最短路径:

使用time模块:对于最短路径较多的用时较少。


复杂度分析:



  • BFS会遍历全部边和节点来盘算最短路径,并且回溯最短路径时涉及到路径构建
  • 现实最坏时间复杂度比没有缓存时更低,但是由于使用了记忆化搜索,减少了重复盘算
                                    O                         (                         E                         +                         (                         V                         +                         E                         )                         +                         K                         ⋅                         L                         )                                                               V                         为节点数,                         E                         为边数,                         K                         是路径数量                         ,                         L                         是路径最大长度                               O(E + (V + E) + K \cdot L)~~~~~\\V为节点数,E为边数,K是路径数量,L是路径最大长度                   O(E+(V+E)+K⋅L)     V为节点数,E为边数,K是路径数量,L是路径最大长度
Q2:

盘算全部正负药物对的最短距离并可视化对比两类样本的结果
列表数据寄义药物对的数量DDIposDDI网络中存在相互作用的药物对(正样本)1601DDInegDDI网络中没有相互作用的药物对(负样本)1601算法思路:



  • 差别于Q1寻找全部的最短路径, 要盘算大量节点间的最短距离,所以我们之间使用BFS即可,考虑到效率,特别是在查询较长路径时,实验双向广度优先搜索
  • 从起点和尽头同时开始搜索,直到两者相遇。如许可以明显减少搜索的空间,尤其是对于大的图,由于搜索空间的半径会从两个方向扩展,通常比从一个方向全图扩展要小。

  • 初始化

    界说两个队列 Q_s、Q_t,分别从起点 s 和尽头 t 启动:
                                                  dist                               (                               s                               ,                               s                               )                               =                               0                               ,                                         dist                               (                               t                               ,                               t                               )                               =                               0                                       \text{dist}(s, s) = 0,\quad \text{dist}(t, t) = 0                         dist(s,s)=0,dist(t,t)=0
  • 交替扩展搜索队列:

    • 从 Q_s 中取出节点 u 及其当前距离 d_s,对每个邻人 w:
                                                              w                                     ∉                                                   visited                                        s                                                  ⇒                                     参加                                                    Q                                        s                                                  ,                                                 dist                                     (                                     s                                     ,                                     w                                     )                                     =                                                   d                                        s                                                  +                                     1                                               w \notin \text{visited}_s \Rightarrow \text{参加 } Q_s,\quad \text{dist}(s, w) = d_s + 1                               w∈/visiteds​⇒参加 Qs​,dist(s,w)=ds​+1
    • 从 Q_t 中取出节点 v 及其当前距离 d_t,对每个邻人 w':
                                                                            w                                        ′                                                  ∉                                                   visited                                        t                                                  ⇒                                     参加                                                    Q                                        t                                                  ,                                                 dist                                     (                                     t                                     ,                                                   w                                        ′                                                  )                                     =                                                   d                                        t                                                  +                                     1                                               w' \notin \text{visited}_t \Rightarrow \text{参加 } Q_t,\quad \text{dist}(t, w') = d_t + 1                               w′∈/visitedt​⇒参加 Qt​,dist(t,w′)=dt​+1

  • 路径相遇判断:
    当存在某个节点
                                                  x                               ∈                                           visited                                  s                                          ∩                                           visited                                  t                                                  x \in \text{visited}_s \cap \text{visited}_t                         x∈visiteds​∩visitedt​
    最短路径长度为:
                                                  dist                               (                               s                               ,                               t                               )                               =                               dist                               (                               s                               ,                               x                               )                               +                               dist                               (                               t                               ,                               x                               )                                       \text{dist}(s, t) = \text{dist}(s, x) + \text{dist}(t, x)                         dist(s,t)=dist(s,x)+dist(t,x)
  • 不可达判断:
    若两个队列均为空仍未相遇,阐明 s 到 t不可达。
实验结果:


正负样本对的距离柱状图如下:

正样本对最短距离险些都分布在24,负样本对分布在56。
复杂度分析:

最短路径长度为 d,即
                                    d                         i                         s                         t                         (                         s                         ,                         t                         )                         =                         d                               dist(s,t)=d                   dist(s,t)=d
分别从 ( s )、( t ) 同时扩展,搜索深度减半
                                    假设图的均匀度为                                   𝑑                            ˉ                                  ,则                         B                         F                         S                         深度为                         𝑘                         时,节点数量近似为                         𝑂                         (                                              𝑑                               ˉ                                      k                                  )                                 搜索节点数近似为:                         O                         (                                              d                               ˉ                                                 d                               /                               2                                            )                               假设图的均匀度为 \bar𝑑 ,则 BFS 深度为 𝑘 时,节点数量近似为 𝑂(\bar𝑑^k)\\搜索节点数近似为:O(\bar{d}^{d/2})                   假设图的均匀度为dˉ,则BFS深度为k时,节点数量近似为O(dˉk)搜索节点数近似为:O(dˉd/2)


  • 最坏情况:要遍历整个图,时间复杂度仍为
                                                  O                               (                               V                               +                               E                               )                                                                   V                               为节点数,                               E                               为边数                                       O(V + E) ~~~~~V为节点数,E为边数                         O(V+E)     V为节点数,E为边数
  • 均匀情况:因搜索深度减半,效率提高:
                                    O                         (                                              d                               ˉ                                                 d                               /                               2                                            )                               O(\bar{d}^{d/2})                   O(dˉd/2)
Q3:

对药物节点进行embedding并在嵌入空间盘算可视化表征向量的欧式距离/余弦距离,并进行分析比力
图表示学习:



  • Deepwalk:一张图上随机生成节点序列,用这些节点序列以Word2vec方法生成embedding。对比Word2vec,把每一个“词”看做节点,得到每个节点的embedding后求两两embedding的余弦相似度,得到top N的近邻排序推荐给目的节点。
  • Node2vec:添加控制游走方向的参数,BFS更体现结构性,DFS更体现同质性(远端节点)


    • 参数p:控制“回头"概率
    • 参数q:控制偏向BFS or DFS


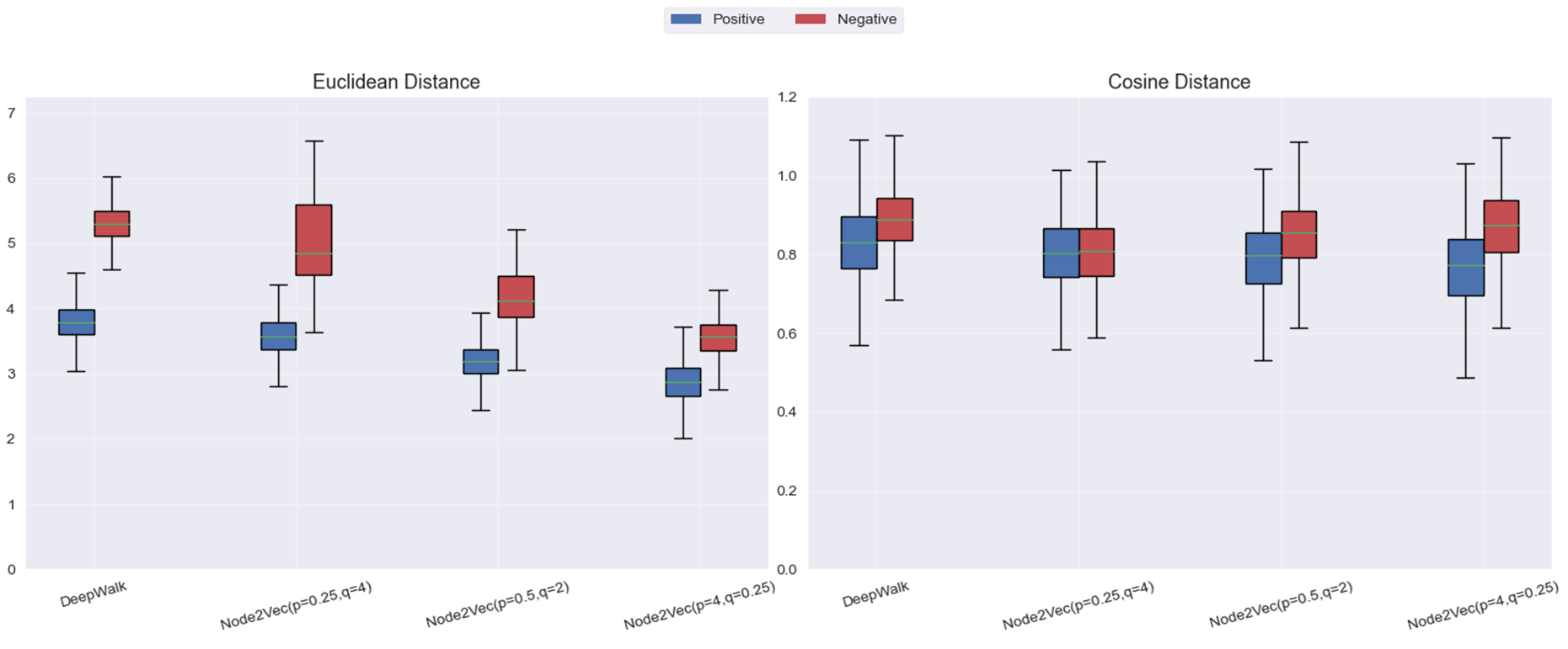
实验结果:



  • 节点嵌入:dimensions=128,walk_length=30,num_walk=100
  • node2vec: 超参设置差别,对比实验结果如下:

boxplot绘制直观展示:

结果分析:



  • Deepwalk:采用 均匀 的随机步长探索邻域。如许,DeepWalk 强调的是 节点之间的共现频率,由于没有对邻域进行加权或偏向某一类邻域结构,DeepWalk 对 直接连接节点对 的敏感度相对较低,无法很好地区分 局部 邻域的细节。
  • Node2vec:

    • 当 p 值较小,q 值较大时,Node2Vec 强调 局部邻域结构。此时,模型倾向于对 直接连接的节点对 给予较高的权重,使得正样本(直接连接的节点对)的欧氏距离明显小于负样本。这使得 局部结构 更轻易被区分。虽然这种设置可以或许有效提高欧氏距离的区分度,但 余弦距离 的区分度相对较弱,由于它对空间的聚集性不如欧氏距离敏感。
    • 当 p 值较大,q 值较小时,Node2Vec 强调 全局结构,雷同于 深度优先搜索(DFS)。在这种设置下,Node2Vec 更倾向于 捕捉较远的、非直接连接节点的关系,从而使得正负样本在 余弦距离 上的分布更加分散,区分度更佳。但与此同时,由于较大 p 值导致的 探索全局结构,负样本和正样本的 欧氏距离 变得相对较小,且整体的聚集度较高。

ps:为什么差别距离度量的样本区分度大有差别?

如果重要关注近邻节点,直接相连的节点关注度较高,欧氏距离更轻易区分,而余弦距离 的区分度较弱,由于余弦距离对相似性度量的需求更加依靠于 整体方向,而不单单是相对距离。但是如果更倾向捕捉到节点在 全局图结构中的脚色,正负样本的 欧氏距离 会趋于较小,由于这时节点间的连接不再仅限于直接邻域。
别的实验:



  • 鉴于图神经网络具备端到端练习的能力,后实验采用生成式模型来学习节点的表示(embedding),GAE 与 VGAE 本质上建模的是图数据的生成过程,因此在理论上具备较强的表达能力。
  • 但是,查阅到文献中广泛指出这类模型依靠于节点的属性信息作为输入特征。而在本实验中,图中仅包含节点及其连接关系,缺乏节点特征,因此只能使用全1或one-hot等假造特征作为替代。在这种特征缺失的情况下,模型难以从输入中学习到有效的结构区分信息,最终导致 GAE/VGAE 的实验表现明显低于Node2Vec 方法。

参考:

[1] CS224W | Home (stanford.edu)
[2] 1.1 - Why Graphs_哔哩哔哩_bilibili
[3] Graph Embedding - (maelfabien.github.io)
[4] rfp0191-wangAemb.pdf (kdd.org)

免责声明:如果侵犯了您的权益,请联系站长,我们会及时删除侵权内容,谢谢合作!更多信息从访问主页:qidao123.com:ToB企服之家,中国第一个企服评测及商务社交产业平台。
继续阅读请点击广告

本帖子中包含更多资源

您需要 登录 才可以下载或查看,没有账号?立即注册

×
回复

使用道具 举报

×
登录参与点评抽奖,加入IT实名职场社区
去登录
快速回复 返回顶部 返回列表